05 Tablas de Vapor. Vapor de Agua Sobrecalentado. Sistema de Unidades EE PDF
Para sistemas de vapor, agua, aire y gas. Incluye más de 50 cálculos diferentes.. Tablas de vapor . Tablas de vapor de vapor saturado Tablas de vapor (por temperatura) Tablas de vapor sobrecalentado. Términos de uso . Síganos. @myTLV on Twitter TLV Channel on YouTube Fuente RSS. Suscríbase a nuestra revista virtual.
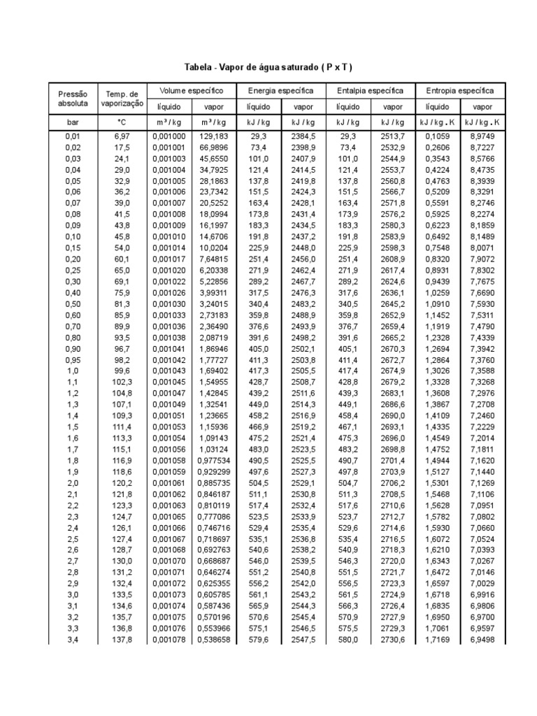
Tabela De Vapor Saturado
Ejemplo de Tabla de Vapor Saturado. Leyenda: P = Presión del vapor/agua. T = Punto de saturación del vapor/agua (punto de ebullición) Vf = Volumen Específico del agua saturada (líquido) Vg = Volumen Específico del vapor saturado (gas) Hf = Entalpía Específica del agua saturada (energía requerida para calentar agua de 0ºC (32ºF) al.
Tabla Termodinamica Vapor Sobrecalentado

Tabla presión de vapor del agua. Regresar a: Información gen. Haga clic en 6_Tabla_Pvap_Agua.pdf para ver el archivo. Tabla de presión de vapor del agua en función de la temperatura Tablas Propiedades Termodinámicas. Ir a. SISTEMAS PARA LA IDENTIFICACIÓN, COMUNICACIÓN DE PELIGROS Y RIESGOS POR SUSTANCIAS QUÍMICA PELIGROSAS VERSIONES.
Tablas de Vapor Sobrecalentado. Cengel Física y matemáticas Física
Explicación detallada de la información y uso de ésta que se encuentra en una tabla de vapor de agua.
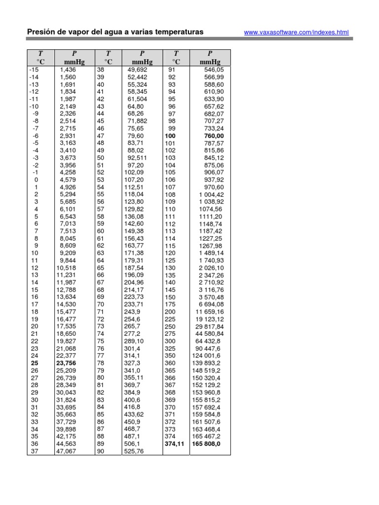
QUÍMICA Tabla de presión de vapor de agua

Calcular termodinámico en línea y propiedades de transporte de agua y vapor, con base en la industria (IAPWS-IF97) o científico (IAPWS-95) la formulación. Diagramas de Mollier incluido. Calcular propiedades de los gases de combustión.
Tablas de Agua. Liquido Comprimido y Vapor Sobrecalentado Para Pfd

Las tablas de vapor son una herramienta esencial en el estudio de la termodinámica. Estas tablas contienen información detallada sobre las propiedades del vapor de agua en diferentes estados y condiciones. En este artículo, exploraremos las propiedades que podemos encontrar en las tablas de vapor y cómo utilizarlas de manera efectiva.
Tablas de Vapor de Agua (I) Cálculos en Ingeniería Química

U.T.N. - F.R.R DEPTO. DE INGENIERÍA QUÍMICA CÁTEDRA DE INTEGRACIÓN III PAG. 2 TABLA DE VAPOR DE AGUA SATURADO Volumen específico Presión Temperatura de saturación Líquido Vapor saturado Densidad vapor saturado y seco Entalpía del líquido Entalpía del vapor saturado y seco Calor latente de vaporización
Vapor de agua Tablas de propiedades termodinámicas YouTube

Calcule en línea las características termodinámicas y del transporte del agua y del vapor, calculadora se basa en IAPWS-95 y IAPWS-IF97. Incluye diagramas interactivos de Mollier en unidades si e inglesas, y tablas de gas para propiedades de gases de combustión.
Tabla+de+presión+de+vapor+de+agua+líquida+y+hielo
TABLA DE PRESIONES. AGUA SATURADA Volumen del Líquido Volumen del Vapor Energía interna del Líquido Energía interna de Evaporización Energía
Vapor y agua caliente

PROPIEDADES DEL VAPOR DE AGUA - 1 - VAPOR DE AGUA SATURADO (entrada por temperaturas) Temp. °C Presión absoluta bar Entalpía especifica kWh/kg Densidad kg/m³ Volumen específico m³/kg Viscosidad dinámica cP Viscosidad cinemática cSt Calor específico kWh/kg·K 50 0,12 0,719808 0,083140 12,027864 0,010616 127,691525 0,0005412
Tabla de Vapor Del Agua Saturada PDF
Nuestra herramienta proporciona cálculos basados en la temperatura para condiciones de agua saturada y vapor. Ya sea ingeniero, científico o estudiante, nuestra calculadora y tabla pueden ayudarlo a comprender las propiedades termodinámicas del agua y el vapor. Obtenga lecturas precisas de volumen, entalpía, entropía y más específicos.
Tabla vapor de agua unidades si Resúmenes de Termodinámica Docsity

Tablas - 2 Propiedades del agua saturada (líquido-vapor): Tabla de temperaturas Volumen especifico Energía interna Entalpía Entropía m3 / kg kJ / kg kJ / kg kJ / kg , K Liquido Vapor Liquido Vapor Liquido Vapor Vapor Liquido Vapor Temp, Presión sat, sat, sat, sat, sat, vaporiz, sat, sat, sat, ºC bar v f x 10 3 v g u f U g h f h
tabla presión de vapor de agua
El agua y el vapor son un medio común porque sus propiedades son muy conocidas . Sus propiedades están tabuladas en las llamadas " Tablas de Steam ". En estas tablas, las propiedades básicas y clave, como la presión, la temperatura, la entalpía, la densidad y el calor específico, se tabulan a lo largo de la curva de saturación vapor.
Tabela Vapor de água saturado ( P x T )
Calculadora en línea para determinar rápidamente Tabla de Vapor Saturado por Presión. Incluye 53 cálculos diferentes. Ecuaciones mostradas para fácil referencia.. Generación de Vapor Flash; Agua. Diseño de Tubería. Dimensionamiento de Tubería por Caída de Presión; Dimensionamiento de Tubería por Velocidad;
Tablas de Vapor de Agua (V) Cálculos en Ingeniería Química

Tablas - Carlos J Renedo - 2 Propiedades del agua saturada (líquido-vapor): Tabla de temperaturas Volumen especifico Energía interna Entalpía Entropía m3 / kg kJ / kg kJ / kg kJ / kg K Liquido Vapor Liquido Vapor Liquido Vapor Vapor Liquido Vapor Temp, Presión sat, sat, sat, sat, sat, vaporiz, sat, sat, sat, ºC bar v
Tabelas Vapor R134a Termodinâmica

Tablas termodinámicas-Cengel 7ma edición Addeddate 2019-08-12 17:14:18 Identifier tablastermodinamicacompletascengel
.